Z takiej możliwości mogą skorzystać także mieszkańcy, którzy szukają dla siebie większego lokum, np. o powierzchni powyżej 80 metrów kwadratowych. Aby móc ubiegać się o mieszkanie za remont, należy spełnić trzy podstawowe warunki:
1. Kryterium dochodowe - w ciągu ostatnich trzech miesięcy dochód na osobę wynosił minimum 150 proc. najniższej emerytury (1.876,32 zł), jednak nie więcej niż 350 proc. (4.378,08 zł);
2. Brak tytułu prawnego do lokalu w postaci prawa własności;
3. Brak zobowiązań wobec gminy z tytułu najmu lokalu lub bezumownego zajmowania lokalu.
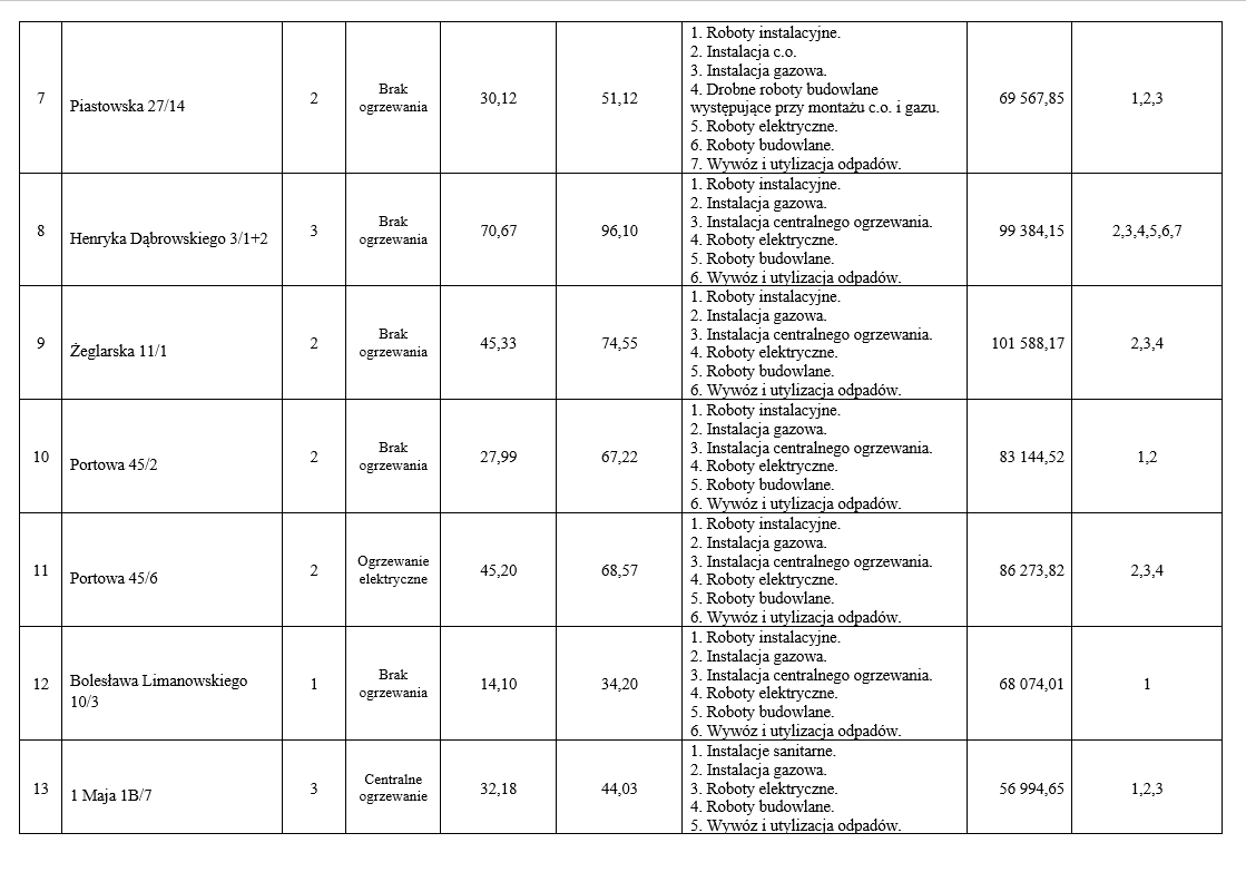
Powierzchnia pokoi w mieszkaniach przeznaczonych do remontu dla pojedynczych osób waha się od 15 do 70 m2. W przypadku gospodarstw wieloosobowych obowiązuje przelicznik minimum 10 m2 na osobę. Opublikowana lista adresów zawiera również zakres niezbędnych do przeprowadzenia prac oraz ich szacunkowy koszt. Zainteresowani mieszkańcy mogą oglądać wybrane przez siebie lokale w dniach:
- 13 grudnia 2021r. od godz. 14:00 do godz. 16:00;
- 15 grudnia 2021r. od godz. 11:00 do godz. 13:00.
Termin planowanej wizyty trzeba wcześniej uzgodnić z Miejskim Zarządem Budynków Komunalnych, tel. 77 483 48 85.
Osoby spełniające warunki mogą złożyć wnioski na maksymalnie dwa lokale. Należy to zrobić do 21 grudnia br. Samorząd zweryfikuje wszystkie zgłoszenia, przyznając im określoną liczbę punktów, zgodnie z zasadami określonymi uchwałą XXIV/267/20 (KLIKNIJ - szczegóły na stronach od 13 do 15). Z osobą, która złożyła najwyżej oceniony wniosek, gmina zawrze umowę przedwstępną na dane mieszkanie, która określi termin remontu, zakres, koszty i zasady rozliczenia. Mieszkańcy, którzy odświeżą lokale zgodnie z tymi ustaleniami, wynajmą je na czas nieoznaczony. Po pięciu latach gmina sprzeda mieszkania najemcom, jeśli będą zainteresowani wykupem.
Poniżej w załącznikach publikujemy listę lokali przeznaczonych do remontu na koszt przyszłego najemcy, treść uchwały określającą zasady ubiegania się o mieszkania oraz wzory wniosków. Wszelkich szczegółów udzielają pracownicy Wydziału Polityki Mieszkaniowej, Spraw Socjalnych i Zdrowia, tel. 77 405 03 26, 77 405 03 10. Opis samej procedury można również znaleźć w Biuletynie Informacji Publicznej: https://bip.kedzierzynkozle.pl/sprawa-do-zalatwienia/13523/stwierdzenie-uprawnien-do-zawarcia-przedwstepnej-umowy-najmu-lokalu-mieszkalnego-wynajmowanego-na-czas-nieoznaczony-przeznaczonego-do-remontu-na-koszt-przyszlego-najemcy.



Do pobrania:























Napisz komentarz
Komentarze